NOTTINGHAM CROWN COURT IS AN UNDEMOCRATIC INSTITUTION
This is my experience of our so-called superior Legal System and alleged envy of the World, but not for a Plebeian such as Edward Bellamy.
Trial T20180625: 02/11 18
I received a summons by Post to appear at Nottingham Magistrates Court on 26/09 2018 for an offence I did not commit; in fact, I had made a complaint to the Police of assault against myself by my ex-wife's new partner, a low-life scumbag one Stephen Douglas Curtis whom I had cited as co-respondent in my Divorce. I had submitted a written statement but received no acknowledgement, nor had I been interviewed. The incompetent and biased Police decided I was Guilty and issued a summons.
I pleaded not guilty at the Magistrates Court and was remanded to appear at Nottingham Crown Court on 24/11/2018. I was charged with breaching a restraining order with no bail conditions attached. When I arrived at Nottingham Crown Court, I was locked in a secure Glass Dock with a Guard as if I were a master criminal. This was a management hearing; a 4-day trial was set for six months later. The Judge indicated to the CPS Lawyer that the case did not meet the threshold test, and this was followed by a discussion between the Judge, CPS Lawyer, and my legal Aid Advocate to adjourn the case for a week to see if the CPS would accept me been Bound Over, I was locked in the Dock and could not speak to my
Advocate until I was released from the dock when the judge left the court. I told my advocate I was not accepting being Bound Over as I was Not Guilty and had done no wrong; he then said he would tell the Judge but came back 2 minutes later saying he could not find the Judge. I believe he was terrified of the Judge and intended to tell the Judge of my refusal to be Bound Over.
I realised then that the court system worked against the unrepresented and the legally aided; the same Prosecutors, Lawyers, and judges are all very cosy as they must work together every day, and nobody wants to rock the boat.
I pleaded not guilty at the Magistrates Court and was remanded to appear at Nottingham Crown Court on 24/11/2018. I was charged with breaching a restraining order with no bail conditions attached. When I arrived at Nottingham Crown Court, I was locked in a secure Glass Dock with a Guard as if I were a master criminal. This was a management hearing; a 4-day trial was set for six months later. The Judge indicated to the CPS Lawyer that the case did not meet the threshold test, and this was followed by a discussion between the Judge, CPS Lawyer, and my legal Aid Advocate to adjourn the case for a week to see if the CPS would accept me been Bound Over, I was locked in the Dock and could not speak to my
Advocate until I was released from the dock when the judge left the court. I told my advocate I was not accepting being Bound Over as I was Not Guilty and had done no wrong; he then said he would tell the Judge but came back 2 minutes later saying he could not find the Judge. I believe he was terrified of the Judge and intended to tell the Judge of my refusal to be Bound Over.
I realised then that the court system worked against the unrepresented and the legally aided; the same Prosecutors, Lawyers, and judges are all very cosy as they must work together every day, and nobody wants to rock the boat.

The Glass Dock: You are locked in with a security guard, unable to speak to your lawyer, who is sitting at a desk in front of you with his back to you. He cannot see you, and you have no way of getting his attention or passing a message; this must surely be against your Human Rights Article 3, which states that even in detention, your Human Dignity has to be respected; there is not much dignity being locked in a cage unable to interact with your Lawyer fully, nor was there a desk to enable you to make notes. This is particularly poignant in my case, as I had not been in custody or on bail. I also consider that it breaches Article 6, the right to a fair trial, as it erodes the presumption of innocence and could influence the Jury that you are Guilty because you are portrayed as a dangerous animal in a cage.
In the United States, even Murderers and serious criminals sit next to their Lawyers at a desk in the well of the Court, able to make notes and interact with their Lawyers. Other common law countries such as Ireland, Australia, and some European countries rarely use a dock; even some Eastern European countries have removed their metal cages. Why haven't our legal professionals objected to this disgraceful situation? I believe it suits the lazy lawyers not to interact with the Defendant, who is exhibited in a cage at the back of the court, like an animal in the Zoo. Most Barristers and Solicitors seem to believe that they act a role in fancy dress; they probably believe you are guilty, and their role is making a good plea for mitigation. There is a big belief that the Police and CPS only take you to court because you are Guilty. This attitude is prevalent in the Magistrates Court, where you will have to defend yourself because of the lack of legal aid; if you do get Legal Aid, you usually get a low-grade, inarticulate solicitor, not interested, low-paid and unable to mount a robust defence. My main problem for a pleb like myself is I have little money and must settle for the 3rd class option. If I were wealthy, I would have instructed a top Solicitor at the start of this ridiculous saga, whom the Police would have had to respond; I doubt if the case with no real evidence would have proceeded to court. The corrupt, politically motivated, and lazy Police Officer refused to interview me and review the evidence but instead issued me a summons by post. The result was the Crown Trial, which collapsed at the management stage, wasting time and taxpayer's money. I received my summons, and as I was facing a serious charge and had no money, I had to settle for the 3rd class option and apply for Legal Aid. Suppose you are a high-profile wealthy person who can afford a top Barrister. In that case, you will be treated with respect, and your Barrister will not have to defer to the Local Judiciary and Court management and their way of administering our so-called justice. I cannot really criticise my Advocate, who, like many, depends on poorly paid Legal Aid work and works on a daily basis with the same set of Prosecutors, Judges, and court managers, which leads to an interdependent atmosphere. My advocate was put under severe pressure by the Judge to get me to agree to a bind over admitting some form of guilt, which I believe is country to the Magna Carta and Trial by lied to me out of the Judge whom he to appear before regularly and needs to Kowtow too. He told me that being over just meant to be of good behaviour. Still, I was not badly behaved but the victim of a false accusation and a corrupt Police Officer, PC Victoria Parkes.
Bound over is an archaic law from the fourteenth century, used to control the Peasants without needing a proper trial, a form of cheap authoring justice. What was said was that the Crown Court does not frequently use Bound Over. The government has now decreed that judges should make more use of Bound Over and expand the conditions they can impose. This is for Political reasons because they do not want Not Guilty verdicts on the records as this reflects badly on the Justice system. If you have been Bound Over, this is considered a satisfactory result for the corrupt justice system and enables all those prosecuting and terrorising you, including your Lawyer, to feel justified in being involved in an unjustified trial. After the trial, a form CITM 3.0 will be completed, including comments and signatures from the prosecutor, defence, court clerk, and judge. My trial would be classed as a cracked trial. It would have been classed as a satisfactory result if they could have ticked the box “ E”, Bound Over, which is acceptable to the Prosecution, as it would indicate that I accepted some guilt and would be equivalent to ticking either box A or B which are for a late plea of guilty, and would have satisfied their statistics that most people are guilty. In my case, they would have to tell the truth and tick the box “I”, insufficient evidence. [copy] of form CITM 3.0 attached at the end], this isn't classed as satisfactory and reflects badly on all concerned. I am disgusted with my advocate, who had to offer acceptance of being bound over to the prosecution without consulting me. I repeat this is a corrupt system where the Judge, lawyers and court staff all work together to process what they consider a satisfactory result; you are just a product to be dealt with, work, and they will carry on with it similarly in the future. They have jobs and Pensions to protect, and fairness and Justice are of no concern. If I had been bound over, I believe I would have been banned from the internet to satisfy a promise made to accusers. I would point out that I have never posted false or illegal material online. I believe there was an agreement between all the parties concerned to put restrictions on me without a proper trial! It felt like I was on trial in North Korea or Iran, where no evidence is required. When you read my correspondence with the Judicial conduct office, you will see I was subjected to a trial by terror. How dare this country criticise other countries' legal systems when our so-called independent Judges have their own politically motivated agenda? Probably the worst part of this saga is the lies and obfuscations by the court management, who are part of the system and are in awe of the judges. They denied receiving my first application for a trial transcript, even though it was sent Special Delivery at the cost of £6.50 and signed for. I supplied them with a copy of the Royal Mail delivery confirmation, complete with the signature of the receipt. I hand-delivered a second application to the court, which was ignored until I enlisted the help of Resolver. It took four weeks to get a refusal from the Judge for me to get a transcript, which proves my point that the Judge was trying to terrorise me: surly in a so-called free and democratic country, this is not acceptable and smacks at a totalitarian state [where is George Orwell]. You could ask why the judge would not authorise my transcripts in this cradle of democracy. Did he want to hide his bullying and intemperate language? After the first hearing, I realised I was up against a completely corrupt, biased system stacked against the normal working citizen who does not have a huge amount of money or a privileged position in society and depends on a legal aid advocate who will do the minimum to make it appear you are receiving a fair trial. If you are wealthy, you buy Justice by hiring expensive Lawyers. I was called back to court a week later, on 02/11/2018, for the actual trial. My advocate still attempted to persuade me to be bound over, which I had anticipated. I realised it was up to myself as my advocate would not defend me against the bound over vigorously. Therefore, I prepared two copies of a statement, which I have copied below. I gave two copies to my advocate. One for him and one for the CPS lawyer as we went into court. I believe the Judge was shown a copy, which probably explains his ill temper.
Bound over is an archaic law from the fourteenth century, used to control the Peasants without needing a proper trial, a form of cheap authoring justice. What was said was that the Crown Court does not frequently use Bound Over. The government has now decreed that judges should make more use of Bound Over and expand the conditions they can impose. This is for Political reasons because they do not want Not Guilty verdicts on the records as this reflects badly on the Justice system. If you have been Bound Over, this is considered a satisfactory result for the corrupt justice system and enables all those prosecuting and terrorising you, including your Lawyer, to feel justified in being involved in an unjustified trial. After the trial, a form CITM 3.0 will be completed, including comments and signatures from the prosecutor, defence, court clerk, and judge. My trial would be classed as a cracked trial. It would have been classed as a satisfactory result if they could have ticked the box “ E”, Bound Over, which is acceptable to the Prosecution, as it would indicate that I accepted some guilt and would be equivalent to ticking either box A or B which are for a late plea of guilty, and would have satisfied their statistics that most people are guilty. In my case, they would have to tell the truth and tick the box “I”, insufficient evidence. [copy] of form CITM 3.0 attached at the end], this isn't classed as satisfactory and reflects badly on all concerned. I am disgusted with my advocate, who had to offer acceptance of being bound over to the prosecution without consulting me. I repeat this is a corrupt system where the Judge, lawyers and court staff all work together to process what they consider a satisfactory result; you are just a product to be dealt with, work, and they will carry on with it similarly in the future. They have jobs and Pensions to protect, and fairness and Justice are of no concern. If I had been bound over, I believe I would have been banned from the internet to satisfy a promise made to accusers. I would point out that I have never posted false or illegal material online. I believe there was an agreement between all the parties concerned to put restrictions on me without a proper trial! It felt like I was on trial in North Korea or Iran, where no evidence is required. When you read my correspondence with the Judicial conduct office, you will see I was subjected to a trial by terror. How dare this country criticise other countries' legal systems when our so-called independent Judges have their own politically motivated agenda? Probably the worst part of this saga is the lies and obfuscations by the court management, who are part of the system and are in awe of the judges. They denied receiving my first application for a trial transcript, even though it was sent Special Delivery at the cost of £6.50 and signed for. I supplied them with a copy of the Royal Mail delivery confirmation, complete with the signature of the receipt. I hand-delivered a second application to the court, which was ignored until I enlisted the help of Resolver. It took four weeks to get a refusal from the Judge for me to get a transcript, which proves my point that the Judge was trying to terrorise me: surly in a so-called free and democratic country, this is not acceptable and smacks at a totalitarian state [where is George Orwell]. You could ask why the judge would not authorise my transcripts in this cradle of democracy. Did he want to hide his bullying and intemperate language? After the first hearing, I realised I was up against a completely corrupt, biased system stacked against the normal working citizen who does not have a huge amount of money or a privileged position in society and depends on a legal aid advocate who will do the minimum to make it appear you are receiving a fair trial. If you are wealthy, you buy Justice by hiring expensive Lawyers. I was called back to court a week later, on 02/11/2018, for the actual trial. My advocate still attempted to persuade me to be bound over, which I had anticipated. I realised it was up to myself as my advocate would not defend me against the bound over vigorously. Therefore, I prepared two copies of a statement, which I have copied below. I gave two copies to my advocate. One for him and one for the CPS lawyer as we went into court. I believe the Judge was shown a copy, which probably explains his ill temper.
Edward Bellamy: Management Hearing 24th October:
My Summary and Comments
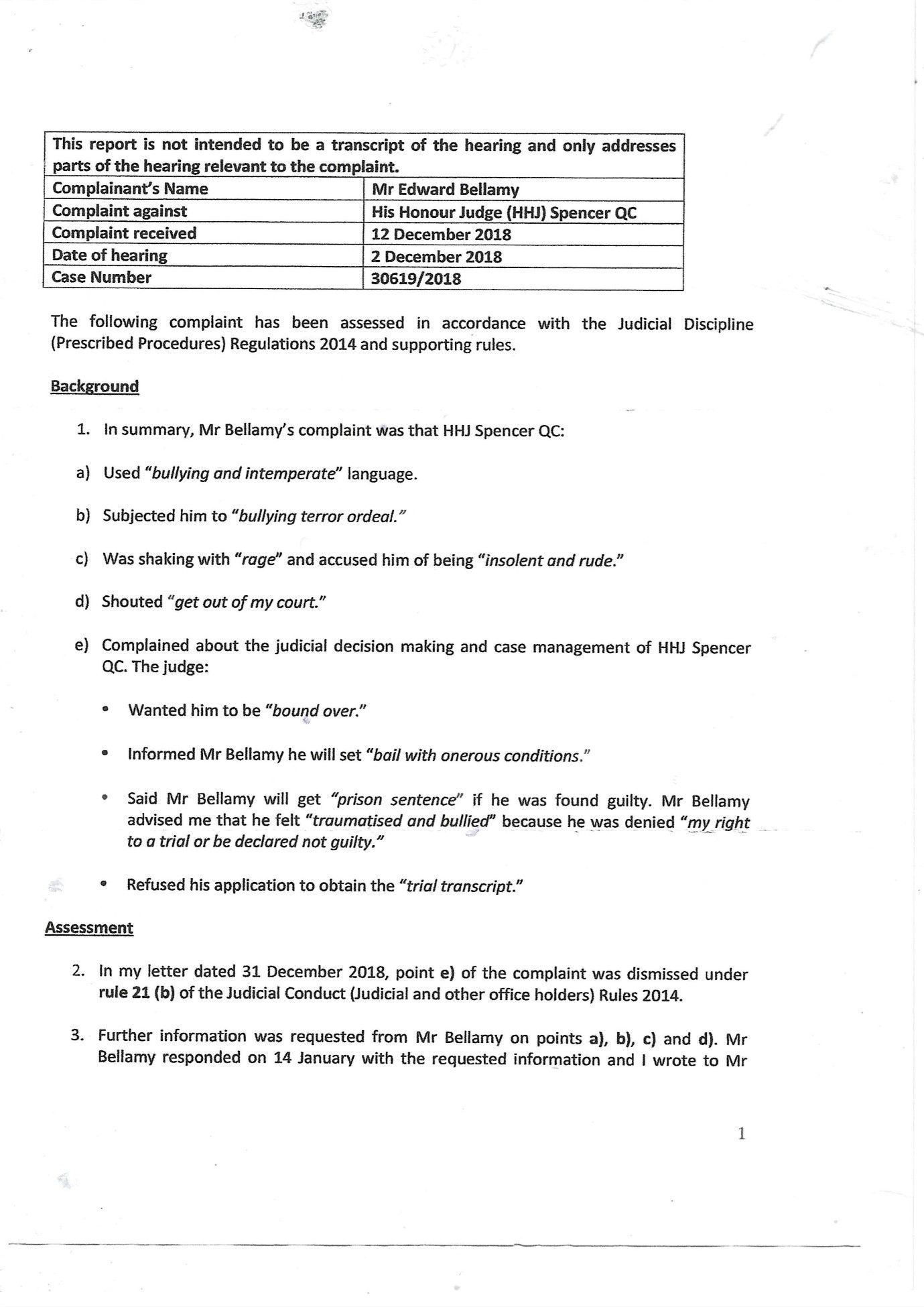
I do not accept that I should ever have been charged with an offence as I consider that I was assaulted and abused, and my complaints have been completely ignored; where is the independently corroborated evidence? The so-called evidence is the hysterical concocted statements by Mrs Bellamy and Curtis. The video is an absolute fake, and if it is supposed to be evidence, it should have forensic scrutiny. The video shows me trying to get away, and there is no sound of me talking or shouting It is about three minutes after the incident started; before this, I stood for nearly a minute waiting to cross Canal Street with Curtis constantly pushing me in the back and shouting that I was not allowed to be in Nottingham. As we crossed the road, he got ahead of me and stood in the roadway [not the pavement], shouting we knew about the flat in Newark, the Prostitutes, and that I was a paedophile. He followed me up Carrington Street, still shouting and pushing me and causing concern and distress to the Public. After this, I escaped them and reported the incident to two CPCSOs. Mrs Bellamy had plenty of opportunities to video me while waiting for me to cross Canal Street and probably did. Still, it would have shown Curtis extremely violent and vocal towards me, and the sound would have been deleted. The only speech on the video is hers, yet Curtis was still shouting, and my voice telling him to leave me alone. I was unaware Mrs Bellamy was filming me on Carrington Street and certainly never heard her hysterical tirade against me. I believe Mrs Bellamy edited the video and put the loud, hysterical soundtrack on it afterwards to back up her fake statement; if you notice what she says, it is like an answer to what I was supposed to have said. She has always been a good actress and a brilliant and prolific liar. I cannot believe the judge thinks it is 6 of 1 and a half dozen of the others. Why are Curtis and Mrs Bellamy not in court if that is the case? I am not accepting to be Bound Over; it is as good as a conviction and leaves it wide open for a vindictive Mrs Bellamy and Evil Curtis to lie and make another false accusation of breaching the bind over. I do not and never will accept that I have committed a crime. I want to pursue my complaints of Assault and attempt to prevent the course of Justice against them. I believe I am offered some sort of POUND SHOP JUSTICE; if this matter is going to be pursued, I should be tried by my peers in a proper trial. I feel like I am now living in a Third World Cheap Jack Country, where citizen's rights are ignored.
This time, I was allowed to sit in the well of the court next to my advocate. The CPS offered no evidence, and I believed I would be declared not guilty. Still, Judge Spencer had his own, I believe, politically motivated agender, which was endemic in Nottingham, driven by the previous Left-wing Chief Constable, Sue Fish, infecting the Police and local courts and creating National News. I will explain in detail in my article on the Corrupt Nottinghamshire Police. The Judge asked me why I was refusing to be Bound Over, to which I replied I was innocent and wanted a trial by my peers; at this point, he lost control, shouted, and visibly shook with rage. He then stated that I would be on Bail until Trial 6 months henceforth with onerous, which included reporting to the Police once a day and a curfew from 2100hrs-0700hrs. He also stated that I would go to Prison if I were to be found guilty. I could not believe that I was on trial in England and was traumatised and bullied into not having my right to a trial or to be declared not guilty. It felt like I was having a trial by ordeal, but instead of by Fire or Water, my ordeal was bullying, terror, and being treated like a major criminal. I was allowed to leave the court but told not to leave the building. One hour later, I was called back into court and pronounced not guilty, but the Judge shouted and shook again, stating I had been insolent and rude and to get out of his court. All I had done was stand up for myself and look him in the eye; he obviously considered me an inferior creature who should bow my head and defer to him, to my way of thinking he was the inferior one with his bullying and shouting. I believe there were two reasons for Judge Spener’s Behaviour. First, He was annoyed with the cracked trial, which made them all look incompetent and useless. If I had been Bound over, they would have salvaged some semblance of competence; the biggest component in the incompetence was the CPS, which is a useless, corrupt, inefficient organisation not fit for purpose; they are low quality cheap to hire people who prepare the case for a hapless prosecuting lawyer who has probably not seen or read all the evidence and appears inefficient in court. This case came to court because of corrupt “ME TOO” PC Parkes, who issued the summons, and no doubt persuaded an ill-trained CPS caseworker that there was a good case to prosecute. The CPS should have realised the video was fake, the concocted statements were uncorroborated, and where was the evidence from the street cameras I believe all those involved in our court system are running a cheap, corrupt system and trying to cover up their inefficiencies. [ I will explain the CPS in another article. The second reason was that the judge disliked me. He had stated he needed some control over me, which showed his bias and ME TOO thinking, which is prevalent in Nottingham. The Judge had decided I was guilty but knew there was no evidence, and no jury would convict me. He saw me as a defiant peasant who should not speak up for himself. He reminds me of the infamous NAZI Judge, Roland Freisler, who did not allow defendants to speak and always pronounced them guilty. I left the Court shocked and in disbelief that this was supposed to be a superior British Justice.After the trial, I reflected on what had happened and decided to complain about the Police, CPS, and the Judge; having little money, I decided to do it myself.
My first step was to get a copy of the trial transcript, which I have explained earlier; this set the scene of lies and obfuscation, which was endemic from the lowest clerk, managers, and my chief protagonist# His dishonour Judge Spencer, an evil man. The biggest obstruction was the refusal of the trial transcript and the lie to allow my request for a transcript. I asked if another Judge could look at it, but this Judge refused to; she probably did not want to join the conspiracy of silence and obstruction. The trials are automatically recorded and stored by private companies, who will supply you with a copy for a fee if you have permission. Court and legal people can access the storage system immediately remotely if they have the pass for the appropriate Portal.Why did Judge Spencer delay giving me a NO answer? He knew he was out of order but did not want to be seen as obstructive, hence the conspiracy of silence and obstruction by all the court staff and Judges who wished to keep their easy, lazy, and corrupt lives.
The real criminals in Nottingham Crown Court are not standing in the Dock; they are the judges, lawyers, court managers, and their staff. There is so much for British justice, more like North Korea or Iran. I next submitted a letter of complaint about the Judge to the Judicial Conduct and Investigation Office., which is based at the Royal Court Of Justice. I received a prompt acknowledgement, and more details were requested. After three months of back-and-forth correspondence, I pointed out that the trial should have been recorded on the new National court record system, DART. They said they would request a copy four months after the start of my complaint; surely this should have been done at the start of the investigation and not have to be prompted by me. They came back and stated that they had only recovered part of the. Part of the recording and nothing untoward was heard; this is supposed to be a state-the-art national computer justice record system that costs hundreds of millions of dollars. I do not believe them, it’s a cover-up and lies. They suggested that I engage a Solicitor and appeal. They also stated that Judges can say and do as they please. They know how to put down peasants like me without money to pursue the matter. I HAVE ONE THING FROM THIS SAGA: WE LIVE IN AN EXTREMELY CORRUPT COUNTRY WITH A DISGRACEFUL LEGAL SYSTEM CORRUPT FROM CLERKS TO THE HIGH COURT.





Request for transcript trid of Edward Bellamy T20118025 marLyn2392@gmail.com - Gma7
Search mail
1 of 1
Senci
REED, Didit <Didit.REED@justice.gov.uk> 9:45 AM (1 hour ago) to me
Good Morning Mr Bellamy ,
Thank you for your letter below. Her Honour Judge Hancox have your application, and as soon as we have it back we will be in touch with you.
Hopefully by today.
Regards,
Didit Reed
Administration Officer
HMCTS Nottingham Crown Court 60 Canal Street Nottingham NG17EL
Tel: 0115 9103550
Web: www.gov.uldhmcts
Search mail
1 of 1
Senci
REED, Didit <Didit.REED@justice.gov.uk> 9:45 AM (1 hour ago) to me
Good Morning Mr Bellamy ,
Thank you for your letter below. Her Honour Judge Hancox have your application, and as soon as we have it back we will be in touch with you.
Hopefully by today.
Regards,
Didit Reed
Administration Officer
HMCTS Nottingham Crown Court 60 Canal Street Nottingham NG17EL
Tel: 0115 9103550
Web: www.gov.uldhmcts







81-82 Queens Building Royal Courb of Jusüce
Strand
London
Dear Miss Odowa, in response to your letter of 31st December 20181 will try to recan the precise sequence of what was a very short trial, split into two parts by a recess. I spoke very little during the trail and was shocked and upset to be accused of being rude and insolent, which I find hard to understand,
The trial started at 10:06, and the CPS offered no evidence. The Judge asked if there was any evidence at all, to which the reply was no. He then asked if there was any camera evidence again, and the answer was no. At this point, I expected to be declared not guilty. The Judge then addressed my advocate to say I would be bound over, to which he replied that I would refuse to be bound over. The Judge then angrily asked me why I would not be bound over, to which I replied it was a matter of principle {meaning it implied guilt], and I said I wanted a Mal [which I assumed was my right]. The Judge appeared very annoyed by this and did not consider what I assumed were my rights. He went on to terrorise me with the bail conditions and adjourned the trial at approximately 10;25. My advocate was called to see the Judge, who then came to see me outside the courtroom and tried to persuade me to accept the bind, over which I refused to do so.
I was frightened and worried about refusing the judge's request but considered myself completely innocent of any wrongdoing and that I should never have been prosecuted in the first place. I believe that I was bullied into accepting a bind to jusüfy the Police and CPS bringing a charge against me which was without any merit and very possibly malicious, plus justifying the cost of the Public Purse. I was bullied into acceptance but felt I should stand up for Justice and my Human rights. I also got the impression that my advocate had been pressured to get me to agree.
The trial resumed at 10:52. The Judge was visibly angry at my repeated refusal to accept a bind over and said I was Rude and Insolent. I was stunned and in disbelief at what this was said to me. I had spoken very little in this short Mal.
RUDE: I was not ill-mannered or discourteous and referred to him as SIR.
INSOLENT. I was not arrogant; I only asked for my right to a trial. I did not show a lack of respect. He showed me a lack of respect and seemed to consider me a sort of lower form of life.
Strand
London
WC2A 2LL
Lincolnshire
14th January 2019
ATT. Miss i Odowa Your Ret 30619/2018
The trial started at 10:06, and the CPS offered no evidence. The Judge asked if there was any evidence at all, to which the reply was no. He then asked if there was any camera evidence again, and the answer was no. At this point, I expected to be declared not guilty. The Judge then addressed my advocate to say I would be bound over, to which he replied that I would refuse to be bound over. The Judge then angrily asked me why I would not be bound over, to which I replied it was a matter of principle {meaning it implied guilt], and I said I wanted a Mal [which I assumed was my right]. The Judge appeared very annoyed by this and did not consider what I assumed were my rights. He went on to terrorise me with the bail conditions and adjourned the trial at approximately 10;25. My advocate was called to see the Judge, who then came to see me outside the courtroom and tried to persuade me to accept the bind, over which I refused to do so.
I was frightened and worried about refusing the judge's request but considered myself completely innocent of any wrongdoing and that I should never have been prosecuted in the first place. I believe that I was bullied into accepting a bind to jusüfy the Police and CPS bringing a charge against me which was without any merit and very possibly malicious, plus justifying the cost of the Public Purse. I was bullied into acceptance but felt I should stand up for Justice and my Human rights. I also got the impression that my advocate had been pressured to get me to agree.
The trial resumed at 10:52. The Judge was visibly angry at my repeated refusal to accept a bind over and said I was Rude and Insolent. I was stunned and in disbelief at what this was said to me. I had spoken very little in this short Mal.
RUDE: I was not ill-mannered or discourteous and referred to him as SIR.
INSOLENT. I was not arrogant; I only asked for my right to a trial. I did not show a lack of respect. He showed me a lack of respect and seemed to consider me a sort of lower form of life.
His final display of anger was that he should get out of my court at the end of the trial.
Yours Sincerely, E Bellamy








Judicial Conduct and Investigation Office
81-82 Queens Building
Royal Courts of JusticeStrand
London
WC2A 2LL
Edward Bellamy
Lincolnshire
10th April 2019
Your Ref: 30619/2018
Thank you for your letter of 22nd March concluding your investigation into my complaint. I disagree with your conclusions, but I did not expect a clear and honest assessment of my complaint. I have to accept that we have a far from perfect legal system, one which is shrouded in secrecy and protection of the practitioners.
I must accept your conclusions as I do not have the resources to pursue the matter other than by the court of public opinion. Below are my thoughts on the investigation and our extremely destructive legal system.
1 1 made two requests for transcription, denying that the first one was not received despite being sent and signed for by Special Delivery. Why was I lied to? I received only obstruction and obfuscation for four weeks before finally rejecting my request. This says a lot about our legal system regarding fairness and equality. If the recording and any Transcript were correctly analysed, it would vindicate that I made no rude or derogatory remarks. It begs the question of why I was denied the opportunity to receive a transcript: what was there to hide?
2 How was I disrespectful in court? I did not make any physical gestures [this would be contempt of court], and I only spoke when answering questions from the judge; I probably spoke less than a hundred words in court. The main part of my verbal interaction was when the judge asked me why I refused to be Bound Over, to which I replied as a matter of Principle. I wanted my trial to take place as I wanted my innocence verified, which I believe is a basic Human Right.
3 It appears that my refusing to be Bound Over was considered disrespectful and that I was some sort of low life or animal. It was like I was tried in the Star Chamber, which has entitled all citizens to the right to a fair trial by one's peers since its demise. I consider being asked to be bound over as denying me this right. Been Bound Over is archaic, belongs to the Middle Ages, and is not a substitute for a trial. Although it is supposed to be classed as not a conviction, I believe it should only be used on people who have been convicted. I was completely Innocent, and I should never have been prosecuted. The Crown Prosecutor had no case all along but persisted just to get a Bind Over to justify the prosecution and save face. If I accepted the Bind Over, it would be admitting Guilt and would be seen as stigma by the public who were present. This is completely unconstitutional in a modern liberal democracy and has been the subject of debate in Parliament and the ECJ.
4 The judge has stated that my Lawyer had left the court and I had remained; this is not true


